第二节 荧光抗体技术
(一)抗体的荧光素标记
用于标记的抗体,要求是高特异性和高亲和力的。所用抗血清中不应含有针对标本中正常组织的抗体。一般需经纯化提取IgG后再作标记。作为标记的荧光素应符合以下要求:①应具有能与蛋白质分子形成共价健的化学基团,与蛋白质结合后不易解离,而未结合的色素及其降解产物易于清除。②荧光效率高,与蛋白质结合后,仍能保持较高的荧光效率。③荧光色泽与背景组织的色泽对比鲜明。④与蛋白质结合后不影响蛋白质原有的生化与免疫性质。⑤标记方法简单、安全无毒。⑥与蛋白质的结合物稳定,易于保存。
常用的标记蛋白质的方法有搅拌法和透析法两种。以FITC标记为例,搅拌标记法为:先将待标记的蛋白质溶液用0.5ml/LpH9.0的碳酸盐缓冲液平衡,随后在磁力搅拌下逐滴加入FITC溶液,在室温持续搅拌4~6h后,离心,上清即为标记物。此法适用于标记体积较大,蛋白含量较高的抗体溶液。优点是标记时间短,荧光素用量少。但本法的影响因素多,若操作不当会引起较台强的非特异性荧光染色。
透析法适用于标记样品量少,蛋白含量低的抗体溶液。此法标记比较均匀,非特异染色也较低。方法为:先将待标记的蛋白质溶液装入透析袋中,置于含FITC的0.01mol/LpH9.4碳酸盐缓冲液中反应过夜,以后再对PBS透析法去除游离色素。低速离心,取上清。
标记完成后,还应对标记抗体进一步纯化以去除未结合的游离荧光素和过多结合荧光素的抗体。纯化方法可采用透析法或层析分离法。
(二)荧光抗体的鉴定
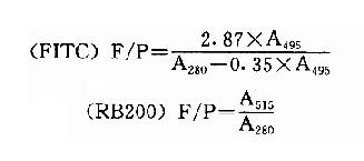
荧光抗体在使用前应加以鉴定。鉴定指标记包括效价及荧光素与蛋白质的结合比率。抗体效价可以用琼脂双扩散法进行滴定,效价大于1:16者较为理想。荧光素与蛋白质结合比率(F/P)的测定和计算的基本方法是:将制备的荧光抗体稀释至A2801≈1.0,分别测读A280(蛋白质特异吸收峰)和标记荧光素的特异吸收峰,按公式计算。

F/P值越高,说明抗体分子上结合的荧光素越多,反之则越少。一般用于固定标本的荧光抗体以F/P=1.5为宜,用于活细胞染色的以F/P=2.4为宜。
抗体工作浓度的确定方法类似ELISA间接法中酶标抗体的滴定。将荧光抗体自1:4~1:256倍比稀释,对切片标本作荧光抗体染色。以能清晰显示特异荧光、且非特异染色弱的最高稀释度为荧光抗体工作浓度。
荧光抗体的保存应注意防止抗体失活和防止荧光猝灭。最好小量分装,-20℃冻存,这样就可放置3~4年。在4℃中一般也可存放1~2年。
二、免疫荧光显微技术免疫荧显微技术的基本原理是:使荧光抗体与标本切片中组织或细胞表面的抗原进行反应,洗涤除去游离的荧光抗体后,于荧光显微镜下观察,在黑暗背景上可见明亮的特异荧光。
(一)标本的制作
荧光显微技术主要靠观察切片标本上荧光抗体的染色结果作为抗原的鉴定和定位。因此标本制作的好坏直接影响到检测的结果。在制作标本过程中应力求保持抗原的完整性,并在染色、洗涤和封埋过程中不发生溶解和变性,也不扩散至临近细胞或组织间隙中去。标本切片要求尽量薄些,以利抗原抗体接触和镜检。标本中干扰抗原抗体反应的物质要充分洗去,有传染性的标本要注意安全。
常见的临床标本主要有组织、细胞和细菌三大类。按不同标本可制作涂片、印片或切片。组织材料可制备成石蜡切片或冷冻切片。石蜡切片因操作烦琐,结果不稳定,非特异反应强等已少应用。组织标本也可制成印片,方法是用洗净的玻片轻压组织切面,使玻片粘上1~2层组织细胞。细胞或细菌可制成涂片,涂片应薄而均匀。涂片或印片制成后应迅速吹干、封装。置-10℃保存或立即使用。
(二)荧光抗体染色
于已固定的标本上滴加经适当稀释的荧光抗体。置湿盒内,在一定温度下温育一定时间,一般可用25~37℃30min,不耐热抗原的检测则以4℃过夜为宜。用PBS充分洗涤,干燥。
(三)荧光显微镜检查
经荧光抗体染色的标本,需要在荧光显微镜下观察。最好在染色当天即作镜检,以防荧光消退,影响结果。
荧光显微镜检查应在通风良好的暗室内进行。首先要选择好光源或滤光片。滤光片的正确选择是获得良好荧光观察效果的重要条件。在光源前面的一组激发滤光片,其作用是提供合适的激发光。激发滤光片有两种。MG为紫外光滤片,只允许波长275~400nm的紫外光通过,最大透光度在365nm;BG为蓝紫外光滤片,只允许波长325~500nm的蓝外光通过,最大透光度为410nm。靠近目镜的一组阻挡滤光片(又称吸收滤光片或抑制滤光片)的作用是滤除激发光,只允许荧光通过。透光范围为410~650nm,代号有OG(橙黄色)和GG(淡绿黄色)两种。观察FITC标记物可选用激发滤光片BG12,配以吸收滤光片OG4或GG9。观察RB200标记物时,可选用BG12与OG5配合。
(四)实验的类型
1.直接法用特异荧光抗体直接滴加于标本上,使之与抗原发生特异性结合(图17-1)。本法操作简便,特异性高,非特异荧光染色因素少;缺点是敏感度偏低,每检查一种抗原需制备相应的特异荧光抗体。

图17-1 直接免疫荧光法原理示意图
2.间接法可用于检测抗原和抗体,原理见图17-2。本法有两种抗体相继作用,第一抗体为针对抗原的特异抗体,第二抗体(荧光抗体)为针对第一抗体的抗抗体。本法灵敏度高,而且在不同抗原的检测中只需应用一种荧光抗体。

图17-2 间接免疫荧光法原理示意图

图17-3 补体结合免疫荧光法原理示意图
3.补体结合法本法是间接法的第一步抗原抗体反应时加入补体(多用豚鼠补体),再用荧光标记的抗补体抗体进行示踪(图17-3)。本法敏感度高,且只需一种抗体。但易出现非特异性染色,加之补体不稳定,每次需采新鲜豚鼠血清,操作复杂。因此较少应用。
4.标记法本法用FITC及罗丹明分别标记不同的抗体,而对同一标本作荧光染色。在有两种相应抗原存在时,可同时见到橙红和黄绿两种荧光色泽。
三、在医学检验中的应用荧光抗体技术在临床检验上已用作细菌、病毒和寄生虫的检验及自身免疫病的诊断等。在细菌学检验中主要用于菌种的鉴定。标本材料可以是培养物、感染组织、病人分泌排泄物等。本法较其他鉴定细菌的血清学方法速度快、操作简单、敏感性高,但在细菌实验诊断中,一般只能作为一种补充手段使用,而不能代替常规诊断。荧光抗体染色法对脑膜炎奈氏菌、痢疾志贺菌、霍乱弧菌、布氏杆菌和炭疽杆菌等的实验诊断有较好效果。荧光间接染色法测定血清中的抗体,可用于流行病学调查和临床回顾诊断。免疫荧光用于梅毒螺旋体抗体的检测是梅毒特异性诊断常用方法之一。免疫荧光技术在病毒学检验中有重要意义,因为普通光学显微镜看不到病毒,用荧光抗体染色法可检出病毒及其繁殖情况。
在寄生虫感染诊断中,间接荧光抗体染色法有非常广泛的应用。间接免疫荧光试验(IFAT)是当前公认的最有效的检测疟疾抗体的方法。常用抗原为疟疾患者血液中红内期裂殖体抗原。IFAT对肠外阿米巴、尤其是阿米巴肝脓肿也有很高的诊断价值,所用抗原是阿米巴培养物悬液或提取的可溶性抗原。
免疫荧光法还是检测自身抗体的好工具,在自身免疫病的实验诊断中应用广泛。其突出优点是能以简单方法同时检测抗体和与抗体起特异反应的组织成分,并能在同一组织中同时检查抗不同组织成分的抗体。主要有抗核抗体、抗平滑肌抗体和抗线粒体抗体等。抗核抗体的检测最常采用鼠肝作核抗原,可做成冰冻切片、印片或匀浆。用组织培养细胞如Hep-2细胞或Hela细胞涂片还可检出抗着丝点抗体、抗中性粒细胞浆抗体等。应用免疫荧光技术可以检出的其他自身抗体有抗(胃)壁细胞抗体、抗双链DNA抗体、抗甲状腺球蛋白抗体、抗甲状腺微粒体抗体、抗骨髓肌抗体及抗肾上腺抗体等。
荧光抗体技术的一种特殊应用是流式细胞分析(flowcytometry)。在这种分析方法中检测仪器不是荧光显微镜,检测对象不是固定了的标本,而是将游离细胞作荧光抗体特异染色后,在特殊设计的仪器中通过喷嘴逐个流出,经单色激光照射发出的荧光信号由荧光检测计检测,并自动处理各处数据。这种方法可用于检测细胞大小、折散率、粘滞度等,更常用于T细胞亚群等的检测。
